PRODUCT


销售一部:0531-88760590
销售二部:0531-88786527
宁经理:18853131830, 15553139909
王经理:18615581926
工厂地址: 济南高新区孙村镇大正路与世纪大道交叉口东50米
销售地址:山东省济南市高新区联合财富广场1号楼907

CAS No. 6419-19-8
别名:氨基三亚甲基膦酸、ATMPA、次氮基三亚甲基三膦酸、次氮基三亚甲基膦酸
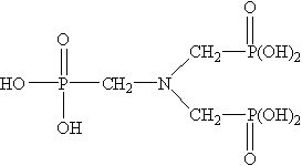
分子式 N(CH2PO3H2)3 相对分子质量:299.05
结构式 
一、性能与用途
ATMP具有良好的螯合、低限抑制及晶格畸变作用。可阻止水中成垢盐类形成水垢,特别是碳酸钙垢的形成。ATMP在水中化学性质稳定,不易水解。在水中浓度较高时,有良好的缓蚀效果。
ATMP用于火力发电厂、炼油厂的循环冷却水、油田回注水系统。可以起到减少金属设备或管路腐蚀和结垢的作用。ATMP在纺织印染等行业用作金属离子螯合剂,也可用于金属表面处理剂等。
ATMP固体为白色颗粒状,易溶于水,易吸潮,易于运输和使用,尤其适用于冬季严寒地区。
二、技术指标
项 目 | 指 标 | |
符合HG/T 2841-2005 | 符合HG/T 2840-2010 | |
外 观 | 无色或淡黄色透明液体 | 白色颗粒状固体 |
活性组分(以ATMP计) /% | ≥50 | ≥93 |
氨基三甲叉膦酸含量/% | ≥40 | ≥88 |
亚磷酸(以PO33-计) /% | ≤3.5 | ≤3.0 |
磷酸(以PO43-计)/% | ≤0.8 | ≤0.8 |
pH(1%水溶液) | ≤2.0 | ≤2.0 |
密度(20℃) /g·cm-3 | ≥1.30 | -- |
氯化物(以Cl-计)/% | ≤2.0 | ≤1.0 |
铁(以Fe2+计)含量/mg·L-1 | ≤20.0 | ≤20.0 |
三、使用方法
ATMP常与其它有机膦酸、聚羧酸或盐等复配成有机水处理剂,用于各种不同水质条件下的循环冷却水系统。用量以1~20mg/L为佳;作缓蚀剂使用时,用量为20~60mg/L。
四、包装与贮存
ATMP液体用塑料桶包装,每桶30kg或250kg;ATMP固体用内衬聚乙烯袋的塑料编织袋包装,每袋净重25kg,也可根据用户需要确定。贮于室内阴凉通风处,防潮、严防曝晒,贮存期十二个月。
五、安全防护
ATMP为酸性,操作时注意劳动保护,应避免与皮肤、眼睛等接触,接触后应立即用大量清水冲洗。