PRODUCT


销售一部:0531-88760590
销售二部:0531-88786527
宁经理:18853131830, 15553139909
王经理:18615581926
工厂地址: 济南高新区孙村镇大正路与世纪大道交叉口东50米
销售地址:山东省济南市高新区联合财富广场1号楼907

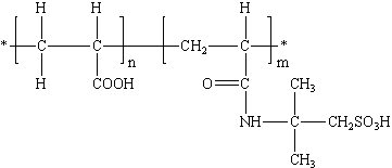
CAS No. 26677-99-6
结构式 
MA/AA是一种低分子量的聚电解质,由马来酸与丙烯酸按一定比例共聚制得,MA/AA对碳酸盐等具有很强的分散作用,热稳定性高,可在300℃高温等恶劣条件下使用,与其它水处理药剂具有良好的相容性和协同增效作用。对包括磷酸盐在内的水垢的生成具有良好的抑制作用。由于MA/AA阻垢性能和耐高温性能较好,因此广泛用于低压锅炉、集中采暖、中央空调及各类循环冷却水系统中。MA/AA也可用于纺织印染行业作螯合分散剂使用。
项 目 | 指 标 | |
HG/T 2229-2009 | -- | |
外 观 | 棕红色透明液体 | 无色至黄色透明液体 |
固体含量/% | ≥48.0 | ≥50.0 |
pH值(1%水溶液) | 2.0~3.0 | 2.0~3.0 |
密度(20℃)/g·cm-3 | ≥1.20 | ≥1.18 |
游离单体(以MA计)/% | ≤5.0 | ≤5.0 |
与其他有机膦酸盐复配使用,用量一般在2~10mg/L。
MA/AA作纺织印染助剂及助洗剂的用量由试验确定。
MA/AA为塑料桶包装,每桶25kg或200kg。贮存期十二个月。
MA/AA为酸性,操作时注意劳动保护,应避免与皮肤、眼睛等接触,接触后用大量清水冲洗。