PRODUCT


销售一部:0531-88760590
销售二部:0531-88786527
宁经理:18853131830, 15553139909
王经理:18615581926
工厂地址: 济南高新区孙村镇大正路与世纪大道交叉口东50米
销售地址:山东省济南市高新区联合财富广场1号楼907

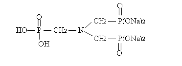
别名:氨基三亚甲基膦酸四钠
CAS No. 20592-85-2
分子式 C3H8NO9P3Na4
相对分子质量:387
结构式

ATMP·Na4是ATMP的中性钠盐,可阻止水中成垢盐类形成水垢,特别是碳酸钙垢的形成。 ATMP·Na4适用于火力发电厂、炼油厂的循环冷却水、油田回注水系统,反渗透膜的阻垢剂。ATMP·Na4对于其他一些添加剂也有很好的相容性。ATMP·Na4特别适用于中性到酸性配方中,无氨味产生。
项 目 | 指 标 |
HG/T 4328-2012 | |
外 观 | 无色或淡黄色透明液体 |
活性组分(以ATMP计)/% | ≥30.0 |
活性组分(以ATMP·Na4计)/% | ≥38.8 |
pH值(1%水溶液) | 6.0-8.0 |
密度(20℃)/g·cm-3 | 1.35~1.45 |
Fe含量(以Fe计) /mg·L-1 | ≤10.0 |
氯化物 (以Cl-计) /% | ≤1.0 |
ATMP·Na4与其它有机膦酸、聚羧酸或聚羧酸盐等复配成有机碱性水处理剂,用于各种不同水质条件的循环冷却水系统。
ATMP·Na4用塑料桶包装,每桶30Kg 或250Kg,也可根据用户需要确定。ATMP·Na4贮于室内阴凉处,贮存期十二个月。
ATMP·Na4,操作时注意劳动保护,应避免与皮肤、眼睛等接触,接触后用大量清水冲洗。